Word equations in chemistry are a useful tool for representing chemical reactions in a concise and easily understandable format. These equations consist of the names of the reactants and products involved in a chemical reaction, as well as the symbols and formulas that represent them. By writing out a word equation, you can clearly see the substances that are reacting and the substances that are being produced.
One common way to write a word equation is to use the names of the substances involved in the reaction. For example, the word equation for the reaction between hydrogen gas and oxygen gas to form water is: hydrogen + oxygen → water. This simple format makes it easy to see what is happening in the reaction and how the reactants are transforming into products.
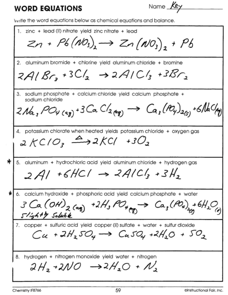
Word Equations Chemistry Worksheet
Using Word Equations Chemistry Worksheet
A word equations chemistry worksheet can be a helpful tool for practicing and mastering the skill of writing and balancing chemical equations. These worksheets typically provide a series of chemical reactions for students to write out in word equation format. By working through these exercises, students can improve their understanding of chemical reactions and develop their ability to write accurate and balanced equations.
When using a word equations chemistry worksheet, it’s important to pay attention to the symbols and formulas used to represent the substances in the reaction. This will help ensure that the equation is accurate and balanced, meaning that the number of each type of atom is the same on both sides of the equation. Balancing equations is a crucial skill in chemistry, as it reflects the law of conservation of mass, which states that matter cannot be created or destroyed in a chemical reaction.
Benefits of Word Equations
Word equations are a valuable tool in chemistry because they provide a clear and concise way to represent chemical reactions. By writing out a word equation, you can easily see the reactants and products involved in a reaction and how they are transforming into each other. This can help you better understand the underlying processes of the reaction and how different substances interact with each other.
Additionally, word equations are a useful starting point for writing and balancing chemical equations in more traditional formats, such as symbolic equations with chemical formulas and coefficients. By mastering the skill of writing word equations, you can build a strong foundation for more complex chemical calculations and problem-solving in the future.
By using a word equations chemistry worksheet, you can practice and improve your ability to write accurate and balanced chemical equations, ultimately enhancing your understanding of chemistry and your overall academic success.
Download Word Equations Chemistry Worksheet
Chemical Equations Worksheet For Chemistry IF8766 Studocu
Word Equations Worksheet
Use This Handwriting Worksheet Generator To Create Word Equations Chemistry Worksheet


