When it comes to simplifying radicals, many students find themselves struggling with the concept. However, with the right practice and resources, mastering this skill can become much easier. One useful tool that can help students improve their understanding of simplifying radicals is a worksheet with answers provided. In this article, we will explore the benefits of using a simplify the radicals worksheet with answers and provide some tips on how to effectively utilize this resource.
1. Practice Makes Perfect: One of the key benefits of using a simplify the radicals worksheet with answers is that it provides students with ample opportunities to practice their skills. By working through various problems and checking their answers, students can reinforce their understanding of the concepts and improve their problem-solving abilities.
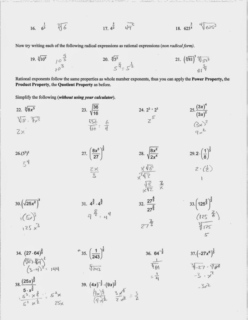
Simplify The Radicals Worksheet Answers
2. Immediate Feedback: Having the answers to the worksheet readily available allows students to receive immediate feedback on their work. This can help them identify any mistakes they may have made and understand where they went wrong. By learning from their errors, students can improve their accuracy and efficiency in simplifying radicals.
Tips for Effectively Using a Simplify The Radicals Worksheet with Answers
1. Start with the Basics: Before attempting more complex problems, make sure to review the basic rules and techniques for simplifying radicals. Understanding the fundamental principles will help you tackle more challenging questions with confidence.
2. Work Through Problems Step by Step: When working on a simplify the radicals worksheet, take your time to carefully follow each step of the simplification process. Pay attention to the rules of simplifying radicals, such as removing perfect squares and simplifying the remaining terms.
By incorporating these tips and utilizing a simplify the radicals worksheet with answers, students can enhance their skills in simplifying radicals and boost their overall proficiency in algebra. With consistent practice and dedication, mastering this essential math concept can become a reality for every student.
So, don’t hesitate to download a simplify the radicals worksheet with answers and start practicing today!
Download Simplify The Radicals Worksheet Answers
Simplifying Radicals C Worksheet Fun And Engaging Algebra I PDF Worksheets Cazoom Math
Simplifying Radicals Worksheet With Answers Pdf Fill Online Printable Fillable Blank PdfFiller
Use This Handwriting Worksheet Generator To Create Simplify The Radicals Worksheet Answers


