Percent yield is a crucial concept in chemistry that measures the efficiency of a chemical reaction. It is calculated by comparing the actual yield of a reaction to the theoretical yield. The actual yield is the amount of product obtained from a reaction in the laboratory, while the theoretical yield is the maximum amount of product that could be obtained if the reaction proceeded perfectly. The percent yield is then calculated using the formula: (actual yield / theoretical yield) x 100%.
Percent yield is an important metric for chemists because it allows them to assess the success of a reaction and identify any inefficiencies or errors that may have occurred during the process. By calculating percent yield, chemists can make adjustments to their experimental procedures to improve the efficiency of their reactions and increase the yield of their desired products.
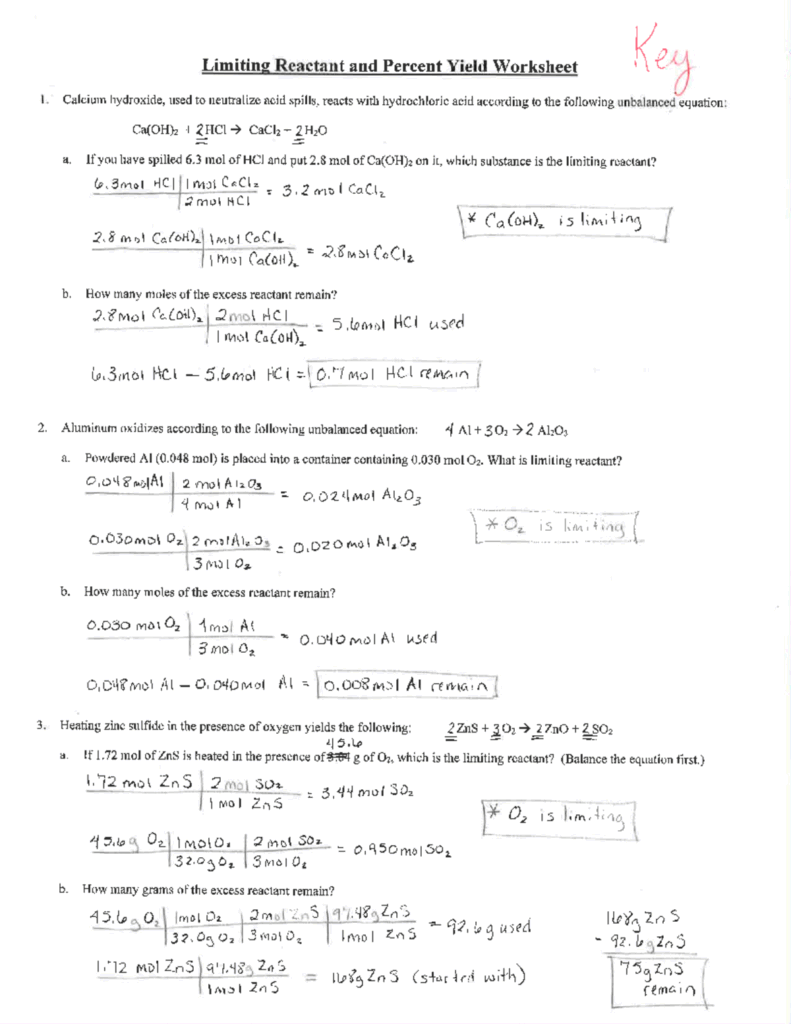
Percent Yield Chemistry Worksheet
Using a Percent Yield Chemistry Worksheet
A percent yield chemistry worksheet is a valuable tool for students and professionals alike to practice calculating percent yield and reinforce their understanding of the concept. These worksheets typically include a series of chemical reactions with known actual yields and ask the user to calculate the theoretical yield and percent yield for each reaction. By completing these worksheets, users can improve their proficiency in calculating percent yield and gain confidence in their ability to assess the efficiency of chemical reactions.
When using a percent yield chemistry worksheet, it is essential to pay attention to the details of each reaction and carefully follow the steps for calculating percent yield. By practicing with different reactions and scenarios, users can develop a strong foundation in understanding percent yield and apply this knowledge to real-world chemical experiments.
Conclusion
Percent yield is a fundamental concept in chemistry that measures the efficiency of chemical reactions. By calculating percent yield, chemists can assess the success of their experiments and make improvements to increase the yield of their desired products. Using a percent yield chemistry worksheet is an effective way to practice calculating percent yield and reinforce understanding of the concept. By incorporating percent yield worksheets into their study routine, students and professionals can develop a strong grasp of this important concept and enhance their skills in the field of chemistry.
Overall, percent yield chemistry worksheets are a valuable resource for anyone looking to improve their understanding of percent yield and enhance their proficiency in calculating the efficiency of chemical reactions.
Download Percent Yield Chemistry Worksheet
Percent Yield Worksheet Fgamedia
Percent Yield Worksheet 2
Use This Handwriting Worksheet Generator To Create Percent Yield Chemistry Worksheet


