Integral by substitution is a technique used in calculus to simplify integrals by replacing variables with new ones. This method is particularly useful when dealing with complex integrals that are difficult to solve using traditional methods. By making a substitution, the integral can be transformed into a simpler form that is easier to evaluate.
When using integral by substitution, it is important to choose the right substitution that will simplify the integral. This often involves identifying a function and its derivative within the integral expression. By substituting the function with a new variable, the integral can be rewritten in terms of this new variable, making it easier to solve.
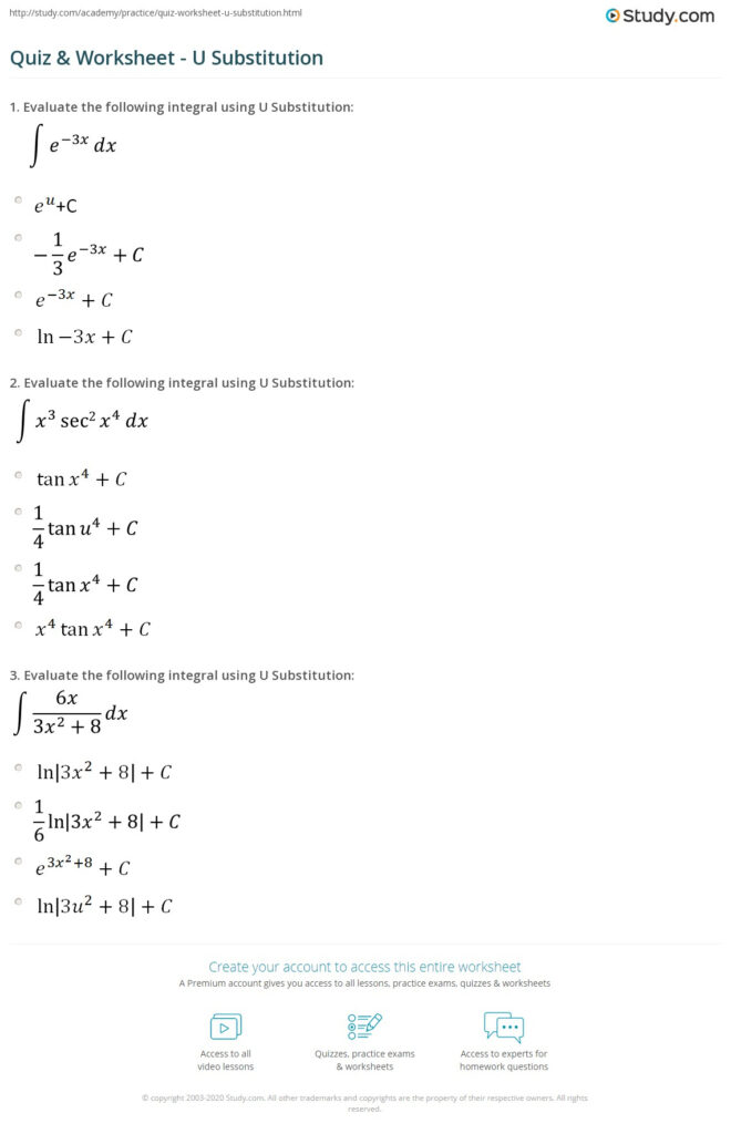
Integral By Substitution Worksheet
Practicing with Integral By Substitution Worksheets
Integral by substitution worksheets are a great way to practice and improve your skills in using this technique. These worksheets typically contain a variety of integrals that require substitution to solve. By working through these problems, you can gain a better understanding of how to choose the right substitution and apply it effectively.
When working on integral by substitution worksheets, it is important to take your time and carefully consider each step. Pay attention to the function you choose to substitute and how it simplifies the integral. By practicing regularly, you can become more proficient in using this technique and improve your overall calculus skills.
Conclusion
Integral by substitution is a powerful technique in calculus that can simplify complex integrals and make them easier to solve. By practicing with integral by substitution worksheets, you can improve your skills and become more confident in using this method. Remember to choose the right substitution and carefully work through each step to successfully solve integrals using this technique.
