Skip to content

AlphabetWorksheetsFree.com

  • Home
  • Worksheets and Printables
  • Cursive
  • Multiplication

simplifying complex numbers worksheet answers

Operations With Complex Numbers Worksheet Answers

Algebra 2 Operations With Complex Numbers Worksheet Answers In 2020

Operations With Complex Numbers Worksheet Answers – There’s a great deal of evidence to suggest that number worksheets can help …

Read more

Imaginary Numbers Worksheet Answers

Algebra 2 Simplifying Radicals Imaginary Numbers Worksheet Answers

Imaginary Numbers Worksheet Answers – There is a lot of evidence that proves how number worksheets can help children build …

Read more

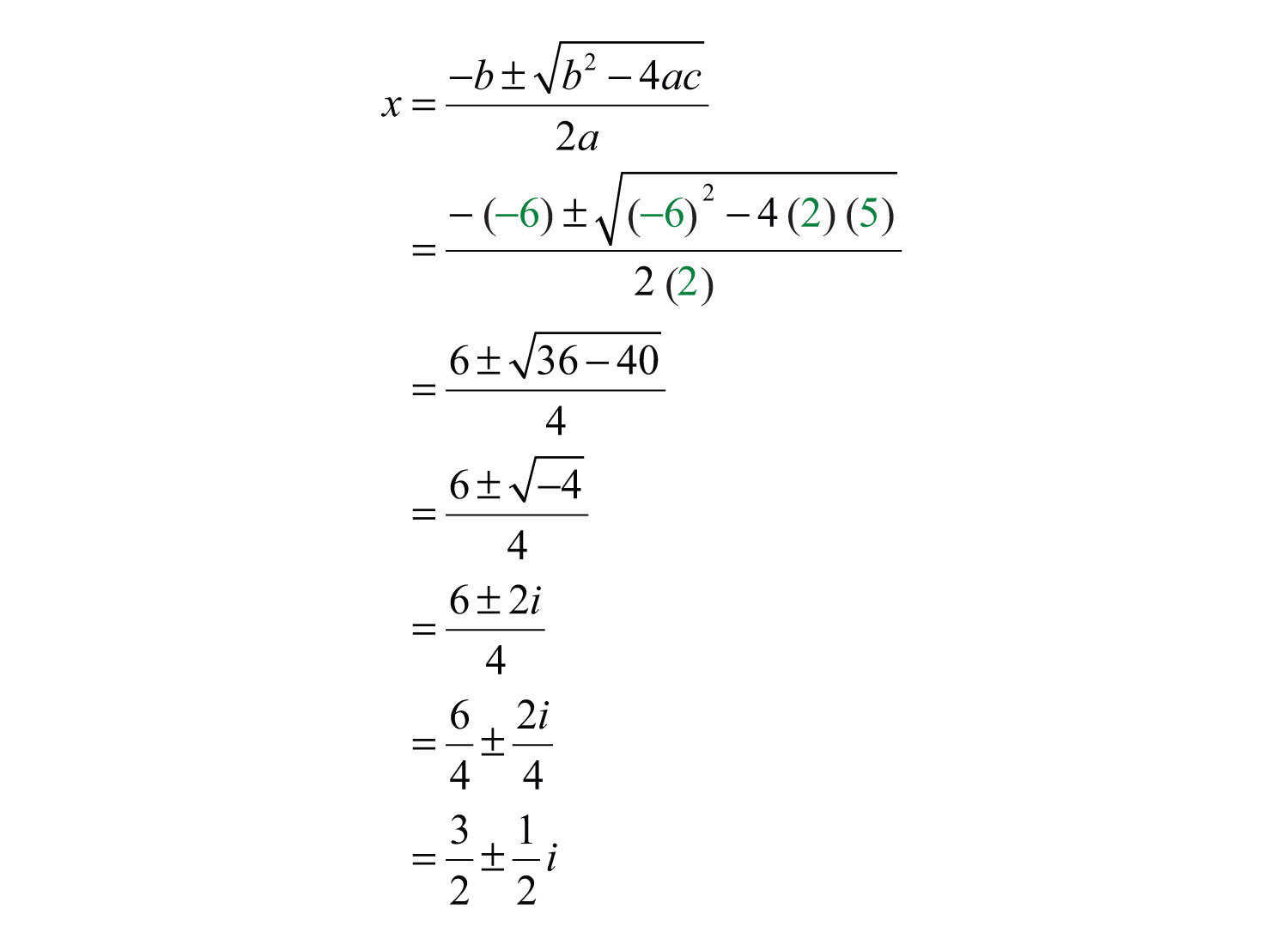
Simplifying Complex Numbers Worksheet Answers

Algebra 2 Simplifying Radicals Imaginary Numbers Worksheet Worksheets

Simplifying Complex Numbers Worksheet Answers – There’s a wealth of evidence that proves how number worksheets can help children improve …

Read more

Complex Numbers Worksheet Answers

Algebra 2 Complex Numbers Worksheet Answers Db excel

Complex Numbers Worksheet Answers – There is plenty of evidence that proves how number worksheets can assist children improve their …

Read more

Recent Posts

  • Free Printable Reading Worksheets For Kindergarten
  • Demand And Supply Practice Worksheet Answers

Categories

  • Christmas
  • Cursive
  • Halloween
  • Letter
  • Multiplication
  • Numbers
  • Printables
  • Self Esteem
  • Worksheets
© 2026 AlphabetWorksheetsFree.com • Built with GeneratePress